AmberX:как раз 30мА ему самое то
Ну это чет много,у них же продолжительность жизни током и определяется.Не знаю конечно,может они теперь сильно разные бывают,развелось их нынче...Но у стандартных 10-20 ма обычно.
AmberX:как раз 30мА ему самое то
Ну это чет много,у них же продолжительность жизни током и определяется.Не знаю конечно,может они теперь сильно разные бывают,развелось их нынче...Но у стандартных 10-20 ма обычно.
larion:Значит,Ереван...
А были еще К50-6 зеленые,для оборонки и в ГА тоже поставлялись.
Как ни странно но и зелёные ничем не лучше оказались. Такой же процент в топку, как их не крась.
Я говорил о зеленых,которые поставлялись оборонке и непосредственно,с которыми имел дело в авиации-кондеи качественные.А что там у Вас было и как с ними цвет увязать-я без понятия
.
larion:Я говорил о зеленых,которые поставлялись оборонке
Ну, значит те, что были у менэ, поставлялись наступалке
.
А вот в авиаци, там да, г*вна быть не должно. Слишком дорого его туда ставить.
А ещё, самолёт - неиссякаемый источник конструкционных материалов для ламповых усилителей
.
|
офлайн
Неизвестный кот
Neophyte Poster
|
|
|
0 |
Город:
|
larion:Ну это чет много,у них же продолжительность жизни током и определяется.Не знаю конечно,может они теперь сильно разные бывают,развелось их нынче...Но у стандартных 10-20 ма обычно.
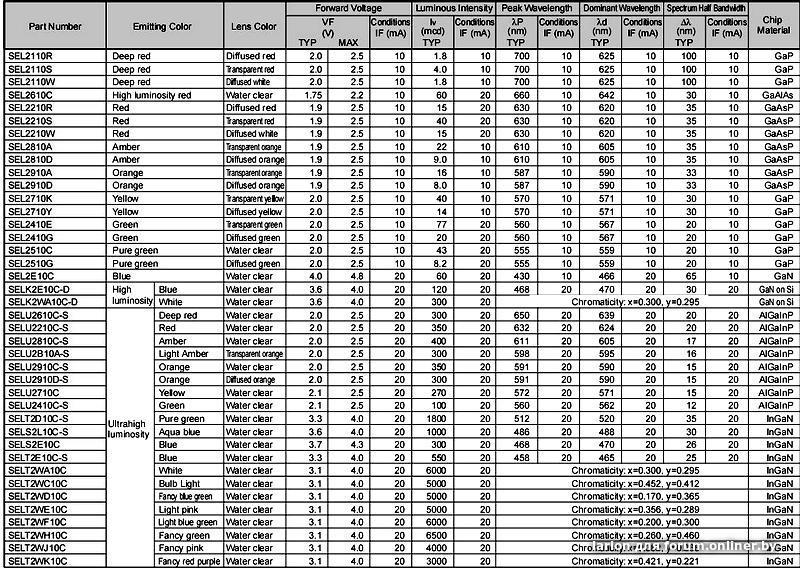
При 20мА скорее всего нормируется длинна волны излучения. Сверх яркие светики d5мм держат ток значительно больше заявленных 20мА. Мои при 30мА даже не нагревались. Навернулся один скорее всего из за того что это китайское шило![]()
А так да, срок службы от тока напрямую зависит конечно.
Посмотрел даташит на первый попавшийся синий 5мм светодиод, там рабочий ток как раз 30мА указан

|
офлайн
mixing-mastering
Senior Member
|
|
|
17419 |
10 лет на сайте Город:
|
я четко помню, что много лет назад, работая на кафедре МРТИ - мы меняли к50-6 ереванские на к50-6 НЕереванские, и девайсы оживали и работали...в жестких условиях студенческих лабораторных работ.
AmberX:При 20мА скорее всего нормируется длинна волны излучения.
Я недавно подсветку кнопки запитывал по новой в одном УНЧе после переделки,так скачивал даташит на диоды Санкен,там такие стояли...В абсолютном максимуме указано 30ма.

AmberX:там рабочий ток как раз 30мА указан
Там тоже абсолютный максимум при 25 градусах.Рабочий долговременный в два раза меньше будет.
|
офлайн
Неизвестный кот
Neophyte Poster
|
|
|
0 |
Город:
|
Значит и 2 мелких красных последовательно(по твоей таблице 20мА суммарно) тоже не долго прослужат при 30мА...(
И че теперь делать ![]()
Это даташит санкеновский.Ну это стандартная серия и для неё и подобных 30ма это много,да.Возможно,есть другие,даже наверняка...Надо изучить вопрос.
|
офлайн
Неизвестный кот
Neophyte Poster
|
|
|
0 |
Город:
|
Диоды параллелить низзя,ага,помним...А если свето и оч. хочется и чтобы без выравнивающих резисторов
Мот они сейчас идентичны сильно или подобрать-копейки же и завались их,не то что раньше...
|
офлайн
Неизвестный кот
Neophyte Poster
|
|
|
0 |
Город:
|
Ну так попробуй тоже самое но параллельно-последовательно (4-ре штук или больше),отобрав диоды в пары по току.
Я помню,какие-то покупал,на них 2.4-2.7 вольта было...Не красные,правда...
|
офлайн
Неизвестный кот
Neophyte Poster
|
|
|
0 |
Город:
|
Так оно без разницы каким цветом светить будут, не для эстетики же. Главное что бы падение напряжения нужное было.
Конкретно в этом унч светик в катоде мне нравится больше резистора. В начале в одном канале оставил классический резистор с конденсатором, во втором светик голубой, для сравнения так сказать. Светодиод оказался однозначно лучше. Потому и оставил.
До этого пробовал как-то в драйвере 6ф5п маленький красный светик- там не понравилось.
Кстати о транзисторах что ты мне дал. Бд139 от СТ и ОЕМ по бетте все более 100, разброс у 139-х минимальный, у 140-х разбег между СТ и ОЕМ тоже единицы. В среднем у 139- б=100, у 140 б=120. Это очень хорошо 
Спасибо еще раз![]()
Сейчас мелочевка недостающая приедет, к концу месяца соберу
|
офлайн
Неизвестный кот
Neophyte Poster
|
|
|
0 |
Город:
|
AmberX:Так прикольно что они даже между собой (СТ и ОЕМ) практически одинаковы.
Третья смена,просто без опознавательных...
Хотя нет,корпуса отличаются,ну неважно,значит кристаллы из одного места.Не,не из того,я имею ввиду...
Да пойдем,надеюсь,и в транзисторную тему.Ща добью ламповый "кирогаз" ,а там видно будет по обстоятельствам и времени...
|
офлайн
Неизвестный кот
Neophyte Poster
|
|
|
0 |
Город:
|
Сегодня у меня праздник. Наконец удалось подобрать трубу нужного диаметра, и сделать из неё кожух для накальника.
Не знаю пока - сетку ставить сверху или нет.
Замучил уже этот дизайн, спасу нет.
larion, доматывать накальную обмотку на ТА - не надо. Железо перегружаете, вот и гудит. Там и так, всё "под завязку" посчитано.