Дождались...

|
офлайн
vovchik_romualdovich
Senior Member
|
|
|
11845 |
15 лет на сайте Город:
|
Ромуальдыч
Richard Tandy and Jeff would be amazed at this cover.
Но это только его мнение

Под подставку для холодца
курчавый:это к nepacaka
![]()
У него тож марахайка с DSD
Вряд ли, он джаз крутит , ![]()
А тут классика
|
офлайн
Slavaakorim
Senior Member
|
|
|
1155 |
12 лет на сайте Город:
|
Slavaakorim,
В молодости бегал в наушниках под блэкаут по стадиону, хотел быть сильным и красивым, бо влюбился

|
офлайн
mixing-mastering
Senior Member
|
|
|
17334 |
10 лет на сайте Город:
|
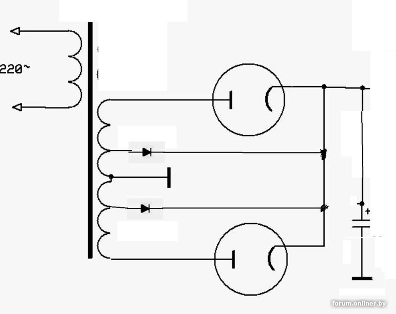
будет работать ?
ИИшка понесла ахинею и сдалась..
потом с испугу начала продавать мне электролиты для установки после мостов ![]()
Будет.
Два двухполярных, поменьше и побольше, или ?
Но таки кондеры нужны ![]()
ev2fj:,, Кто помрёт в этом году, застрахован от смерти на будущий год"
![]()
Умерший паталогоанатом все равно приехал на работу.
|
офлайн
mixing-mastering
Senior Member
|
|
|
17334 |
10 лет на сайте Город:
|
oleg_s:Будет.
Два двухполярных, поменьше и побольше, или ?
Но таки кондеры нужны
да, там потом конденсаторы и стабы...
а затупил я и засомневался потому, что перерыл кучу промышленных схем и нигде такого варианта питания не нашел...и подумалось мне про подводные камни..
может кто навскидку вспомнит, где такое применялось?
mixing-mastering, Не совсем по теме: Припомнилась схема аудиофилическая.

Суть, быстро зарядить конденсаторы анодного питания до невысокого напряжения, пока нагреваются кенотроны. Типа Сберегающая задержка дорогих ламп.
Далее кены заряжают кондеры до высокого. Диоды закрываются поскольку у них напряжение катода становится выше анода ![]()
Симуляция твоей схемы,
каждая обмотка - синус 50Гц R=20ом

mixing-mastering:засомневался потому, что перерыл кучу промышленных схем и нигде такого варианта питания не нашел...и подумалось мне про подводные камни..
Возможно в силу опасности взаимного влияния на питатели из-за токов потребления.
|
офлайн
mixing-mastering
Senior Member
|
|
|
17334 |
10 лет на сайте Город:
|
ну да, POWER AMP потребляет амперы, а преамп на оу - единицы милиампер..может и замодулировать случайно преамп до фидбэка, но все же попробую..
наверное, землю нужно делать звездой и на болт в шасси ![]()
|
офлайн
mixing-mastering
Senior Member
|
|
|
17334 |
10 лет на сайте Город:
|