Ответить
  • vr400 MemberАвтор темы
    офлайн
    vr400 Member Автор темы

    203

    11 лет на сайте
    пользователь #1378226

    Профиль
    Написать сообщение

    203
    # 22 сентября 2014 18:45 Редактировалось vr400, 127 раз(а).

    Сосновый квартал 2017–2019

    __________

    __________
    Квартал-парк 2018-2020

    Группа Квартал-парка - vk.com/newbor_kvartal_park
    Дом №2 (6.2 по генплану, 7-8-8-6 этажей) - vk.com/kvartal_park_dom_2

    Группы жителей в соцсетях

    Группа Соснового квартала — vk.com/sosnovyj_kvartal

    Дом №1 (9.7 по генплану, 10 эт.) — vk.com/club91183627

    Дом №2 (9.1 по генплану, 5 эт.) — vk.com/newbor91

    Дом №5 (9.3 по генплану, 7 эт.) — vk.com/club126636496

    Дом №6 (9.4 по генплану, 11 эт.) — vk.com/newbor94

    Полезные документы

    Инструкция по пользованию видеодомофоном

    [url=https://www.youtube.com/watch?v=7E0jGZmtbjU]Новая Боровая[/url] ..... [url=https://www.youtube.com/watch?v=zQ6owZOkkIA]Крыши домов[/url] ....... [url=https://www.youtube.com/watch?v=ftvHpxSt7Fk]Новая Боровая с воздуха[/url] ...... [url=https://www.youtube.com/watch?v=zy8fNpIO-Mg]Новая Боровая - ВЗЛЁТ !!![/url]
  • gendalf_1981 Senior Member
    офлайн
    gendalf_1981 Senior Member

    2328

    13 лет на сайте
    пользователь #708274

    Профиль
    Написать сообщение

    2328
    # 7 октября 2017 23:07 Редактировалось gendalf_1981, 3 раз(а).

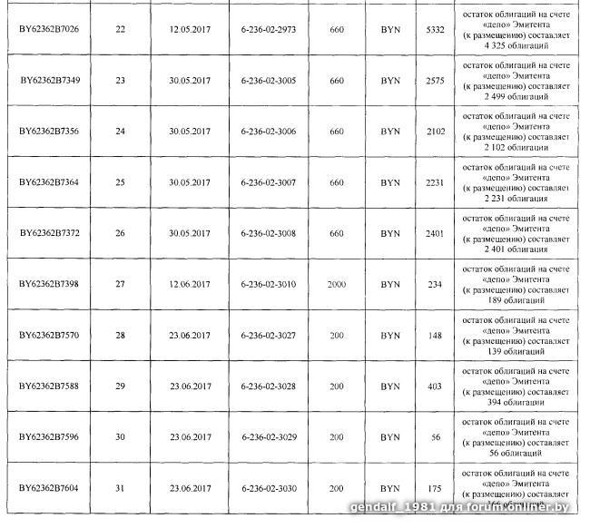
    А вот и данные о непогашенных еще выпусках облигаций эмитентом, которому вы так доверяете

    Я думаю, что если задаться целью, то хотя бы приблизительно можно и узнать, сколько еще не продано у а100. По всем объектам :D

    Вот просто лень все выпуски их облигаций штудировать и выверять с домами.

  • IDDQD_X Member
    офлайн
    IDDQD_X Member

    231

    14 лет на сайте
    пользователь #505080

    Профиль
    Написать сообщение

    231
    # 8 октября 2017 00:03

    как так получается, что Старушка цитирует пост Гендальфа, расположенный ниже? ОМГ

  • Starushka_LT Member
    офлайн
    Starushka_LT Member

    176

    9 лет на сайте
    пользователь #2186841

    Профиль
    Написать сообщение

    176
    # 8 октября 2017 00:04 Редактировалось Starushka_LT, 1 раз.
    Seis:

    Гендальф, хватит уже самому с собой под разными никами разговаривать.

    Особенно это нелепо в свете того, что вы ещё кого-то пытаетесь обвинить в двойной игре. Уж совесть имейте, даже слова и обороты одинаковые используете. На воре и шапка горит)

    Если Вы решили, что и я -Гендальф, то смею Вас огорчить) я не Гендальф)) и даже совсем не мужчина ;-)

    Судя по тому, что цитировались в том числе и мои комменты выше)

    Я -абсолютно реальная собственница одной из квартир в первом построенном доме Кедрового квартала.

    Я, как и многие те, кто впервые приходят в ОП и ранее не читают форумы, абсолютно доверяла данному застройщику, но мои "розовые очки" уже давно разбились о суровую реальность "косяков" и невыполненных обещаний ;-)

    Если бы на тот момент была информация, которая доступна сейчас на этом форуме от тех, кто построил квартиру в НБ (тогда наш дом был первым и все верили, что первый "блин" не будет комом, а наоборот- станет витриной), то я бы здесь недвижимость не покупала.

    И уж тем более договор, который предлагают к подписанию в Сосновом и далее, ни за какие коврижки в виде "экономии", не стала бы подписывать.

    Свет клином не сошелся на квартирах от застройщика. Не осталось у него хороших вариантов, говорите?)

    Это мы узнаем, когда следующий квартал начнут уже строить и часть ЖО там уже продадут.

    Хотя и это не все варианты. Как обычно будут те, кто захочет продать на вторичке квартирку в Сосновом) в нашем доме регулярно продаются.

    Так что, также советую не спешить "влазить в стройку" и получать "кота в мешке".Тем более по ТАКИМ ценам)

    Добавлено спустя 8 минут 46 секунд

    IDDQD_X:

    как так получается, что Старушка цитирует пост Гендальфа, расположенный ниже? ОМГ

    Аргументы закончились? ;-)

    Включите фантазию или острый ум) всё ж просто ;-))) , не тем способом пытаетесь отвлечь от проблемных вопросов. На ровном месте ищете "криминал"))

    Может, есть действительно аргументы "за" или "против" сказанного выше РЕАЛЬНЫМИ ЖИТЕЛЯМИ?

  • dj_klaus Member
    офлайн
    dj_klaus Member

    204

    16 лет на сайте
    пользователь #241409

    Профиль
    Написать сообщение

    204
    # 8 октября 2017 01:22

    Ветка Дома №14 в Сосновом квартале
    https://forum.onliner.by/viewtopic.php?t=19602391

    Добавлено спустя 12 секунд

    Ветка Дома №14 в Сосновом квартале
    https://forum.onliner.by/viewtopic.php?t=19602391

  • gendalf_1981 Senior Member
    офлайн
    gendalf_1981 Senior Member

    2328

    13 лет на сайте
    пользователь #708274

    Профиль
    Написать сообщение

    2328
    # 8 октября 2017 02:54 Редактировалось gendalf_1981, 11 раз(а).

    Но и это еще не всё. Застройщик может сам, по своей инициативе, поменять обеспечение выпуска облигиций.

    А какой-нибудь ИП Шакалов оценит очередной пустующий бункер в.....10 миллионов долларов.
    Вы захотите не согласиться?

    Тогда какая-нибудь ООО "Таксебеконторка" выкупит эти ЖО по....договорной цене. Как вы думаете, какая она будет, эта договорная цена? :shuffle:

  • Неизвестный кот Junior Member
    офлайн
    Неизвестный кот Junior Member

    35

    9 лет на сайте
    пользователь #2158419

    Профиль

    35
    # 8 октября 2017 03:04

    По декларируемой отделке у многих есть вопросы. Не по качеству/наполнению, только по срокам. Всё выполняется, но, практически всегда, с просрочкой.

  • gendalf_1981 Senior Member
    офлайн
    gendalf_1981 Senior Member

    2328

    13 лет на сайте
    пользователь #708274

    Профиль
    Написать сообщение

    2328
    # 8 октября 2017 10:48 Редактировалось gendalf_1981, 2 раз(а).

    А теперь приплюсуем к 24 выпускам ЖО, которые ещё находятся в обращении от ООО "Астодевелопмент" ещё 3 выпуска ЖО (на август 2017), эмитентом которых является ООО "Алмари" (это, для тех, кто не знает - тоже застройщик от а100) и получаем 27 выпусков облигаций, находящихся в обращении, по которым а100 ещё не отчиталось перед инвесторами.

    И знаете, кто ходит в поручителях у ООО "Алмари"? :D Правильно, ООО "Астодевелопмент". Ну, правильно, о своих же надо заботиться))

    P.s. и это я ещё не проверял, сколько выпусков в обращении находятся от УП "Дамаан" - ещё одного, якобы независимого застройщика, принадлежащего к структуре а100.

  • Неизвестный кот Neophyte Poster
    офлайн
    Неизвестный кот Neophyte Poster

    0


    пользователь #2188425

    Профиль

    0
    # 8 октября 2017 12:51
    Кармочка:

    Общественник , разве что поговорить на форуме.И то ни одного конкретного дельного совета от вас последнне время не прозвучало, кроме как покупать готовое.

    А Вы хотите совета в плане рассказа о том, где находится "ключ от квартиры, где деньги лежат"(С) ? Так не бывает такого.
    Оторвитесь от массового психоза молодых семей, которые считают, что если нет жилья в собственности - ты ничто. Если нет денег для того, чтобы купить квартиру, не влезая в долги, кредиты и прочие финансовые обязательства, - просто не делайте этого. Завтра жизнь ещё не закончится.

    Здесь все считают себя умными (некоторые - даже очень и и особенно), поэтому не будем возвращаться к трезвым расчётам типа "сколько стоит мне в год аренда - и сколько я переплачу за кредит/рассрочку при покупке квартиры". Не будем в сотый раз возвращаться к рискам, в том плане, что для Вашей семьи рискованнее - жить в арендованной квартире и платить каждый месяц пару-тройку сотен у.е. - или жить в квартире банка (застройщика) и несколько лет платить по ставке, не имея шансов соскочить.

    Просто если Вы не готовы отказаться от хорошей полноценной еды, качественной одежды для себя и детей, регулярного отдыха не абы где, а у моря со всеми прелестями многозвёздочного комфорта, ответьте себе сами на вопрос: надо ли загонять мужа (который, если не ошибаюсь, и так тянет на себе двух ребятишек и их маму в декрете) в рабство?
    Да-да именно в рабство. Мой иностранный партнёр когда-то давно, когда я тоже был молодой семьёй с маленьким ребёнком, упорно и настойчиво внушал (и внушил) мне мысль о том, что любой кредит есть рабство. Это при их процентах за ипотеку!

  • Сайфонька Member
    офлайн
    Сайфонька Member

    383

    10 лет на сайте
    пользователь #1770744

    Профиль
    Написать сообщение

    383
    # 8 октября 2017 13:55
    Брауни:

    Кармочка:

    Общественник , разве что поговорить на форуме.И то ни одного конкретного дельного совета от вас последнне время не прозвучало, кроме как покупать готовое.

    А Вы хотите совета в плане рассказа о том, где находится "ключ от квартиры, где деньги лежат"(С) ? Так не бывает такого.
    Оторвитесь от массового психоза молодых семей, которые считают, что если нет жилья в собственности - ты ничто. Если нет денег для того, чтобы купить квартиру, не влезая в долги, кредиты и прочие финансовые обязательства, - просто не делайте этого. Завтра жизнь ещё не закончится.

    Здесь все считают себя умными (некоторые - даже очень и и особенно), поэтому не будем возвращаться к трезвым расчётам типа "сколько стоит мне в год аренда - и сколько я переплачу за кредит/рассрочку при покупке квартиры". Не будем в сотый раз возвращаться к рискам, в том плане, что для Вашей семьи рискованнее - жить в арендованной квартире и платить каждый месяц пару-тройку сотен у.е. - или жить в квартире банка (застройщика) и несколько лет платить по ставке, не имея шансов соскочить.

    Просто если Вы не готовы отказаться от хорошей полноценной еды, качественной одежды для себя и детей, регулярного отдыха не абы где, а у моря со всеми прелестями многозвёздочного комфорта, ответьте себе сами на вопрос: надо ли загонять мужа (который, если не ошибаюсь, и так тянет на себе двух ребятишек и их маму в декрете) в рабство?
    Да-да именно в рабство. Мой иностранный партнёр когда-то давно, когда я тоже был молодой семьёй с маленьким ребёнком, упорно и настойчиво внушал (и внушил) мне мысль о том, что любой кредит есть рабство. Это при их процентах за ипотеку!

    Что-то я не поняла из вашего поста, то есть вы ставите в приоритет недельный отдых и дорогие шмотки постоянному комфортному проживанию в своей квартире? В нашей стране не имея наследство от бабушки нереально купить жилье без кредита. Даже с зарплатой мужа в 1800 руб и жены 1000 руб. Что уж говорить о большинстве, которое имеет по 500 руб.

    Сайгон
  • Seis Senior Member
    офлайн
    Seis Senior Member

    3718

    14 лет на сайте
    пользователь #578239

    Профиль
    Написать сообщение

    3718
    # 8 октября 2017 14:21 Редактировалось Seis, 1 раз.
    Брауни:

    Да-да именно в рабство. Мой иностранный партнёр когда-то давно, когда я тоже был молодой семьёй с маленьким ребёнком, упорно и настойчиво внушал (и внушил) мне мысль о том, что любой кредит есть рабство. Это при их процентах за ипотеку!

    В ваших словах есть разумное зерно, действительно, кредит это эдакая современная форма рабства.

    Другой вопрос, что реальный мир не чёрно-белый, как кажется всяким так гендальфам, а он наполнен компромиссами и выборами из "меньших зол". Это касатся и кредитов, и дилеммы строящееся или готовое, и выбором застройщика.

    Действительно, если есть возможность не ввязываться в кредиты, то лучше быть должным свату-брату, а не банку.

    Другой вопрос, что покупка жилья требует очень больших вложений при невысоких зарплатах в нашей стране. Если вам не досталось крупное наследство, то самостоятельный сбор 100% суммы на квартиру займёт прилично времени даже если вы айтишник средней руки. Всё это время придётся жить на съёмной квартире, переплачивая дяде и с куда меньшим психологическим комфортом.

    Так что кредит вполне имеет право на жизнь, особенно если брать немного - процентов 20-30 от стоимости квартиры. Просто нужно здраво оценивать свою платежеспособность и закладываться под потенциальные риски. И по возможности всё же избегать.

  • Starushka_LT Member
    офлайн
    Starushka_LT Member

    176

    9 лет на сайте
    пользователь #2186841

    Профиль
    Написать сообщение

    176
    # 8 октября 2017 14:27 Редактировалось Starushka_LT, 1 раз.
    gendalf_1981:

    А теперь приплюсуем к 24 выпускам ЖО, которые ещё находятся в обращении от ООО "Астодевелопмент" ещё 3 выпуска ЖО (на август 2017), эмитентом которых является ООО "Алмари" (это, для тех, кто не знает - тоже застройщик от а100) и получаем 27 выпусков облигаций, находящихся в обращении, по которым а100 ещё не отчиталось перед инвесторами.

    И знаете, кто ходит в поручителях у ООО "Алмари"? :D Правильно, ООО "Астодевелопмент". Ну, правильно, о своих же надо заботиться))

    P.s. и это я ещё не проверял, сколько выпусков в обращении находятся от УП "Дамаан" - ещё одного, якобы независимого застройщика, принадлежащего к структуре а100.

    Уточню: а чем подкреплены эти 27 выпусков?

    Такая спешка действительно настораживает. Будто конец света близится))

  • Xenos Senior Member
    офлайн
    Xenos Senior Member

    7055

    20 лет на сайте
    пользователь #37928

    Профиль
    Написать сообщение

    7055
    # 8 октября 2017 15:04

    Starushka_LT, под квартиры свои облигации, под крыши свои, под паркинг свои. Вот и насобиралось.

  • gendalf_1981 Senior Member
    офлайн
    gendalf_1981 Senior Member

    2328

    13 лет на сайте
    пользователь #708274

    Профиль
    Написать сообщение

    2328
    # 8 октября 2017 15:20

    Немного разбавлю тему для любителей кивать на "первый дефектный дом" :D

    С витражами разбираются по двум "дефектным" домам.

    А у 4 и 5 свои извечные проблемы. Вот буквально опять сегодняшнее:

    Что опять дядя на тросе делает? Что уже в этот раз, стыки или градусник ваш?
    Или всё таки "профилактика"? ;)

  • Mr.AD Senior Member
    офлайн
    Mr.AD Senior Member

    836

    12 лет на сайте
    пользователь #1134562

    Профиль
    Написать сообщение

    836
    # 8 октября 2017 15:40
    gendalf_1981:

    Что опять дядя на тросе делает? Что уже в этот раз, стыки или градусник ваш?
    Или всё таки "профилактика"?

    Геннадий, Вы зануда еще тот. :) Можно оторвать седалищный нерв от стула, спуститься вниз, подойти незаметно к дяде на тросе и спросить тихим вкрадчивым голосом (но так, чтобы он не сорвался от испуга): "Что делаешь мастер: стыки, градусник, или "профилактику"? Здесь он точно не ответит, потому что.....

    Лучшая штука в жизни-это штука $.
  • Barmutik Senior Member
    офлайн
    Barmutik Senior Member

    4729

    22 года на сайте
    пользователь #18694

    Профиль
    Написать сообщение

    4729
    # 8 октября 2017 16:10 Редактировалось Barmutik, 2 раз(а).

    Начали заливать фундаменты монолитных домов 8.5 и 8.6 и часть паркинга уже закрыта крышей (фото не мои):

  • gendalf_1981 Senior Member
    офлайн
    gendalf_1981 Senior Member

    2328

    13 лет на сайте
    пользователь #708274

    Профиль
    Написать сообщение

    2328
    # 8 октября 2017 16:16 Редактировалось gendalf_1981, 9 раз(а).

    Ну и продолжим об инвестировании в строительство квартиры через ЖО.

    А по этой ссылке прекрасно видно, сколько всего выпусков ЖО уже осуществил эмитент ООО "Астодевелопмент"

    https://www.centraldepo.by/helpserv/emitent/?name=ООО+%26quot%3BА ... bmit=Найти

    Так вот, мой выпуск облигаций был вторым, а значит у эмитента, на тот момент, был не закрыт только один выпуск - первый.

    Сейчас у а100 (по состоянию на 28.08.2017 года) не закрыты обязательства перед инвесторами по 24 выпускам (это от ООО "Астодевелопмент" ) и по 3 выпускам (это от ООО "Алмари" ). У УП "Дамаан" на данный момент в обращении ещё один выпуск облигаций. Добавляем сюда еще 35-ый и 36-ой выпуск ЖО.

    И, я так понимаю, "Астодевелопмент" собирается начинать продавать воздух ЖО котлованов в новом квартале, имея при этом кучу нераспроданных облигаций по первым двум кварталам. А это значит, что скорее всего деньги от новых продаж пойдут на закрытие тех проблемных объектов, которые плохо продаются, но которые нужно сдавать в срок. Надежда у застройщика на то, что со временем продажи попрут, что позволит сосредоточиться на более отдалённых объектах. Либо начинать потом продажу следующих котлованов, увеличивая размер финансового пузыря.

    Так кто же больше рискует? ;) Я, находившийся в самом начале пирамиды или вы?))

    Зато как грамотно преподносят менеджеры от а100 этот маркетинговый ход: "Мы потом будем продавать готовое". Так достройте и люди с удовольствием будут у вас покупать. Или не будут, увидев, что получилось в итоге. А то, в буклете всегда можно красивее нарисовать.

    Достаточно взять для сравнения хотя бы разрешение об эмиссии 14 выпуска ЖО, чтоб увидеть, что по состоянию на 4.11.2016 года ООО "Астодевелопмент" имело непогашенными всего лишь 5 выпусков. Сейчас, если суммировать все три строительные подразделения а100, 24 (Астодевелопмент)+2 (35-ый и 36-ой выпуски)+3 (Алмари)+1 (Дамаан)=30. И при этом намыливается ещё что-то запускать в продажу.

    А вы знаете, что у а100 скоро будут висеть аж три глобальные стройки (и это при том, что по ЗБ я не в курсе)?
    Это НБ, Пирс и тот участок в центре Минска, что они купили в пять раз дороже стартовой цены.

    И, главное, как красиво делают: НБ как бы застраивает ООО "Астодевелопмент", Пирс - ООО "Алмари", тот участок в Минске - не удивлюсь, если ОДО "Этерика" или УП "Дамаан" :roll:

    И будут они друг у друга ходить в залоговых поручителях, управляющих компаниях и прочих, прочих....

    Если эта схема рухнет, то накроет она всё и сразу. Все объекты. При фиаско, в самом оптимистичном варианте, пойдёт максимальное удешевление проектов, перенос сроков (помним про эти пункты в ваших Соглашениях).

    И не надо думать, что я обрадуюсь тому, что кто-то из дольщиков окажется в неловкой ситуации. Я, в отличие от застройщиков, как раз и пишу всё это для того, что бы вы, как инвесторы, здраво оценили текущую ситуацию, прежде, чем инвестировать в воздух и обещания. Потому, как знаю не понаслышке о том, что в ОП предоставляют недостоверную информацию о залоговой недвижимости под определённый выпуск облигаций, не всегда дают к ознакомлению проспект эмиссий ЖО (если покупатель не в теме, ему даже не скажут, что такой есть). Уж не знаю, по наивному незнанию так делают девчули-продавщицы ЖО или по четкому указанию.

  • Adventurer Senior Member
    офлайн
    Adventurer Senior Member

    53085

    22 года на сайте
    пользователь #16951

    Профиль
    Написать сообщение

    53085
    # 8 октября 2017 16:23
    gendalf_1981:

    Зато как грамотно преподносят менеджеры от а100 этот маркетинговый ход: "Мы потом будем продавать готовое"

    если учесть, что сперва застройщик продает всякий неликвид, ибо хорошие квартиры всегда можно продать, то нужно ждать и покупать только готовое :super:

  • Pyzir Senior Member
    офлайн
    Pyzir Senior Member

    908

    14 лет на сайте
    пользователь #488656

    Профиль
    Написать сообщение

    908
    # 8 октября 2017 16:36
    gendalf_1981:

    P.s. весь дом пестрит объявлениями с требованием НЕ ТРОГАТЬ ЧАСТНУЮ СОБСТВЕННОСТЬ БЕЗ СОГЛАСИЯ СОБСТВЕННИКА

    Ну почему до сих пор мы не увидели фотоочтёт с мобильного на эту тему?) С пометками в Paint, всё как вы любите)

  • Xenos Senior Member
    офлайн
    Xenos Senior Member

    7055

    20 лет на сайте
    пользователь #37928

    Профиль
    Написать сообщение

    7055
    # 8 октября 2017 17:06

    [censored by captain_che]

  • Barmutik Senior Member
    офлайн
    Barmutik Senior Member

    4729

    22 года на сайте
    пользователь #18694

    Профиль
    Написать сообщение

    4729
    # 8 октября 2017 17:49 Редактировалось Barmutik, 1 раз.

    gendalf_1981,
    Вам следует добавить к реальным недостаткам НБ организацию в 2018 году действующего автобусного(вернее смешанного автобусно-троллейбусного) парка на базе ранее проектируемого троллейбусного депо.
    На мой взгляд это более существенный реальный минус, чем вымышленные и ничем не обоснованные рассуждения на тему обеспеченности ЖО и возможности дефолта по ним.

    Xenos,
    Фотография просто супер 8) Во вконтакте выложили несколько видео с ней и стебутся что это новые жители соснового заезжают :D